The hardware and bandwidth for this mirror is donated by dogado GmbH, the Webhosting and Full Service-Cloud Provider. Check out our Wordpress Tutorial.
If you wish to report a bug, or if you are interested in having us mirror your free-software or open-source project, please feel free to contact us at mirror[@]dogado.de.
The goal of ensModelVis is to display model fits for multiple models and their ensembles.
You can install the development version of ensModelVis from GitHub with:
# install.packages("devtools")
devtools::install_github("domijan/ensModelVis")This is a basic example:
library(ensModelVis)
data(iris)
if (require("MASS")) {
lda.model <- lda(Species ~ ., data = iris)
lda.pred <- predict(lda.model)
}
#> Loading required package: MASS
if (require("ranger")) {
ranger.model <- ranger(Species ~ ., data = iris, mtry = 1)
ranger.pred <- predict(ranger.model, iris)
ranger.model2 <-
ranger(Species ~ .,
data = iris,
mtry = 4,
num.trees = 10)
ranger.pred2 <- predict(ranger.model2, iris)
}
#> Loading required package: ranger
plot_ensemble(
iris$Species,
data.frame(
LDA = lda.pred$class,
RF = ranger.pred$predictions,
RF2 = ranger.pred2$predictions
)
)
plot_ensemble(
iris$Species,
data.frame(
LDA = lda.pred$class,
RF = ranger.pred$predictions,
RF2 = ranger.pred2$predictions
),
incorrect = TRUE
)
if (require("ranger")) {
ranger.model <- ranger(Species ~ ., data = iris, mtry = 1, probability = TRUE)
ranger.prob <- predict(ranger.model, iris)
ranger.model2 <-
ranger(Species ~ .,
data = iris,
mtry = 4,
num.trees = 10,
probability = TRUE)
ranger.prob2 <- predict(ranger.model2, iris)
}
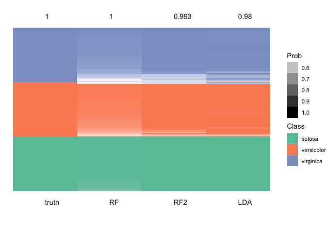
plot_ensemble(
iris$Species,
data.frame(LDA = lda.pred$class,
RF = ranger.pred$predictions,
RF2 = ranger.pred2$predictions),
tibble_prob = data.frame(
LDA = apply(lda.pred$posterior, 1, max),
RF = apply(ranger.prob$predictions, 1, max),
RF2 = apply(ranger.prob2$predictions, 1, max)
)
)
These binaries (installable software) and packages are in development.
They may not be fully stable and should be used with caution. We make no claims about them.
Health stats visible at Monitor.