The hardware and bandwidth for this mirror is donated by dogado GmbH, the Webhosting and Full Service-Cloud Provider. Check out our Wordpress Tutorial.
If you wish to report a bug, or if you are interested in having us mirror your free-software or open-source project, please feel free to contact us at mirror[@]dogado.de.
This R package extends package arules with NBMiner, an implementation of the model-based mining algorithm for mining NB-frequent itemsets presented in “Michael Hahsler. A model-based frequency constraint for mining associations from transaction data. Data Mining and Knowledge Discovery, 13(2):137-166, September 2006.”
In addition an extension for NB-precise rules is implemented.
Stable CRAN version: Install from within R with
install.packages("arulesNBMiner")Current development version: Install from r-universe.
install.packages("arulesNBMiner",
repos = c("https://mhahsler.r-universe.dev",
"https://cloud.r-project.org/"))Estimate NBD model parameters for the Agrawal data set.
library("arulesNBMiner")
data("Agrawal")
param <- NBMinerParameters(Agrawal.db, pi = 0.99, theta = 0.5, maxlen = 5, minlen = 1,
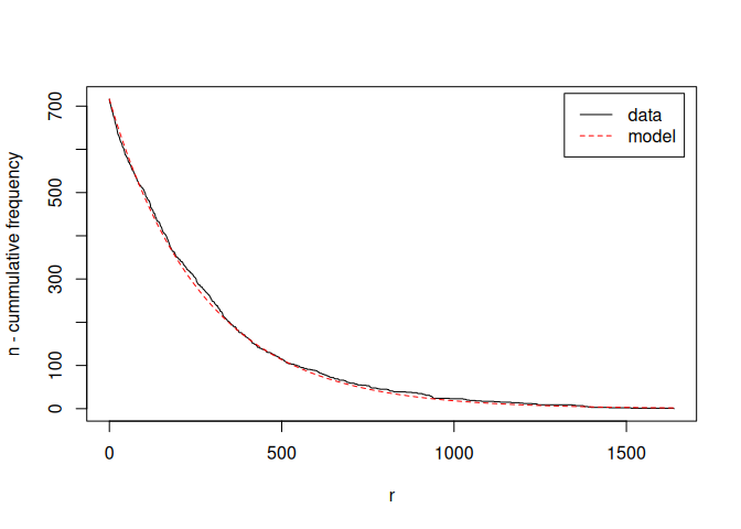
trim = 0, verbose = TRUE, plot = TRUE)## using Expectation Maximization for missing zero class
## iteration = 1 , zero class = 3 , k = 0.99 , m = 278
## iteration = 2 , zero class = 3 , k = 0.99 , m = 278
## total items = 719

Mine NB-frequent itemsets
itemsets_NB <- NBMiner(Agrawal.db, parameter = param, control = list(verb = TRUE,
debug = FALSE))##
## parameter specification:
## pi theta n k a minlen maxlen rules
## 0.99 0.5 719 0.99 0.0014 1 5 FALSE
##
## algorithmic control:
## verbose debug
## TRUE FALSE
Inspect some itemsets with the highest precision.
inspect(head(itemsets_NB, by = "precision"))## items precision
## [1] {item220, item956, item964} 1
## [2] {item510, item667, item885} 1
## [3] {item452, item956, item964} 1
## [4] {item60, item173, item417, item440, item831} 1
## [5] {item258, item452, item956} 1
## [6] {item149, item231, item611} 1
These binaries (installable software) and packages are in development.
They may not be fully stable and should be used with caution. We make no claims about them.
Health stats visible at Monitor.